
JUC并发编程 第一章

预备知识希望你不是一个初学者线程安全问题,需要你接触过 Java Web 开发、Jdbc 开发、Web 服务器、分布式框架时才会遇到基于 JDK 8,最好对函数式编程、lambda 有一定了解采用了 slf4j 打印日志,这是好的实践采用了 lombok 简化 java bean 编写给每个线程好名字,这也是一项好的实践 pom.xml <p…

算法,暴力递归到动态规划

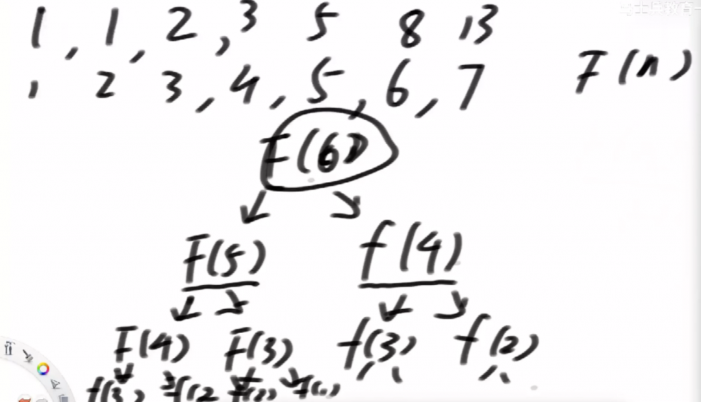
斐波那契数列 求第n项就相当于求一个高度为n的二叉树 那么这个过程中会有大量的重复的数据,什么是动态规划,我们算完一个值就放到一张表里,再需要这个值的时候直接去拿就行了;就是缓存 题目: 尝试一下: 然后我们优化code 举一个具体的例子,我们再7位置走到13位置还剩10步和在7位置走到13位置还剩8步的结果一样的 出现重复解我们才可以动态递归 这…

Redis企业实战篇 上

《黑马点评》项目介绍 短信登录: 1导入黑马点评项目 2基于Session实现登陆 流程图 代码实现:发送短信验证码的功能: controller: @PostMapping("code") public Result sendCode(@RequestParam("phone") String phone, HttpSession session…

八股文集合

Java面向对象有哪些特征,如何应用 面向对象编程是利用类和对象编程的一种思想。万物可归类,类是对于世界事物的高度抽象 ,不同的事物之间有不同的关系 ,一个类自身与外界的封装关系,一个父类和子类的继承关系, 一个类和多个类的多态关系。万物皆对象,对象是具体的世界事物,面向对象的三大特征封装,继承,多态。封装,封装说明一个类行为和属性与其他类的关系,…

Redis基础篇

Redis快速入门 value的形式多种多样,json,哈希等等。这种结构和mysql的数据库大不相同,没有约束 我们称这种为nosql 基础篇内容 认识Nosql sql更强调数据的标准化,nosql比较宽松 认识redis redis安装: 1.单机安装Redis 1.1.安装Redis依赖 Redis是基于C语言编写的,因此首先需要安装Red…

数据结构与算法 树篇

一、二叉树入门 之前我们实现的符号表中,不难看出,符号表的增删查操作,随着元素个数N的增多,其耗时也是线性增多的,时 间复杂度都是O(n),为了提高运算效率,接下来我们学习树这种数据结构。 1.1树的基本定义 树是我们计算机中非常重要的一种数据结构,同时使用树这种数据结构,可以描述现实生活中的很多事物,例如家 谱、单位的组织架构、等等。 树是由n(…

数据结构与算法 链表篇

一、线性表、 线性表是最基本、最简单、也是最常用的一种数据结构。一个线性表是n个具有相同特性的数据元素的有限序列。 前驱元素: 若A元素在B元素的前面,则称A为B的前驱元素 后继元素: 若B元素在A元素的后面,则称B为A的后继元素 线性表的特征:数据元素之间具有一种“一对一”的逻辑关系。 1. 第一个数据元素没有前驱,这个数据元素被称为头结点; 2…

数据结构与算法 (数组排序篇)
接口类型的引用作为方法的形参

回顾comparable使用 String - compareTo(String str) - 该比较基于字符串中各个字符的 Unicode 值。不按照汉语拼音。 http://www.wenhq.com/article/view_302.htmlBoolean - compareTo(Boolean b) - true > false ht…
package cn.itxdl.day10; public interface A { //自定义抽象方法 public abstract void show(); } A接口的实现类 package cn.itxdl.day10; public class SubA implements A { @Override public void sh…

Java基础,类加载,反射(完结!)
反射 public class ReflectDemo { public static void main(String[] args) throws ClassNotFoundException { //使用类的class属性来获取该类对应的class对象 Class<Student> studentClass = Student.…